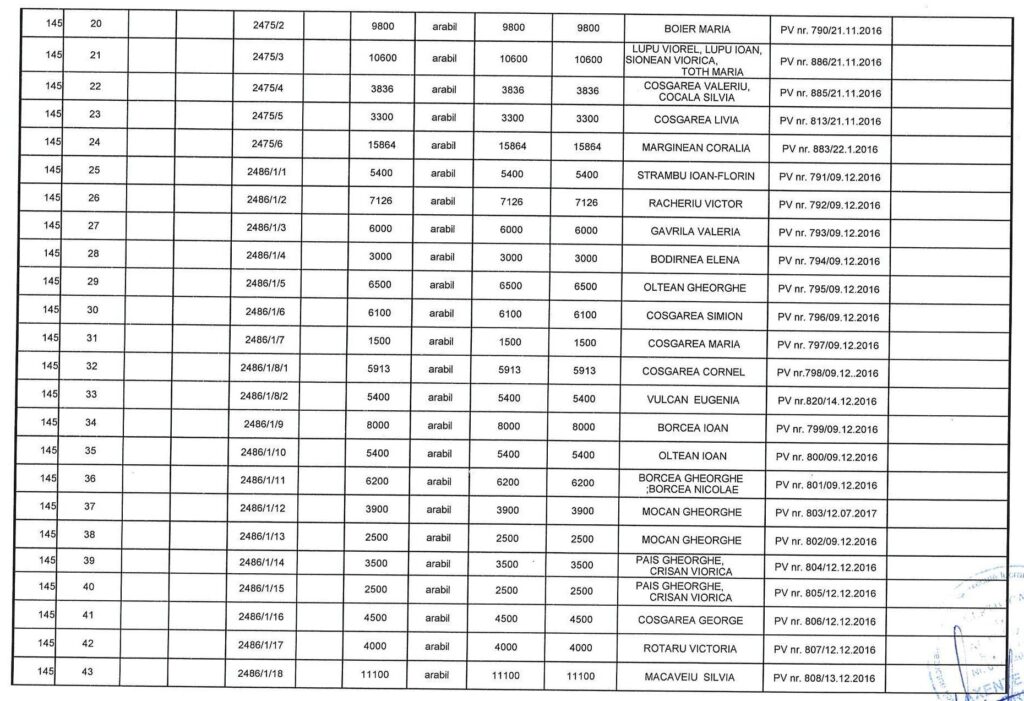
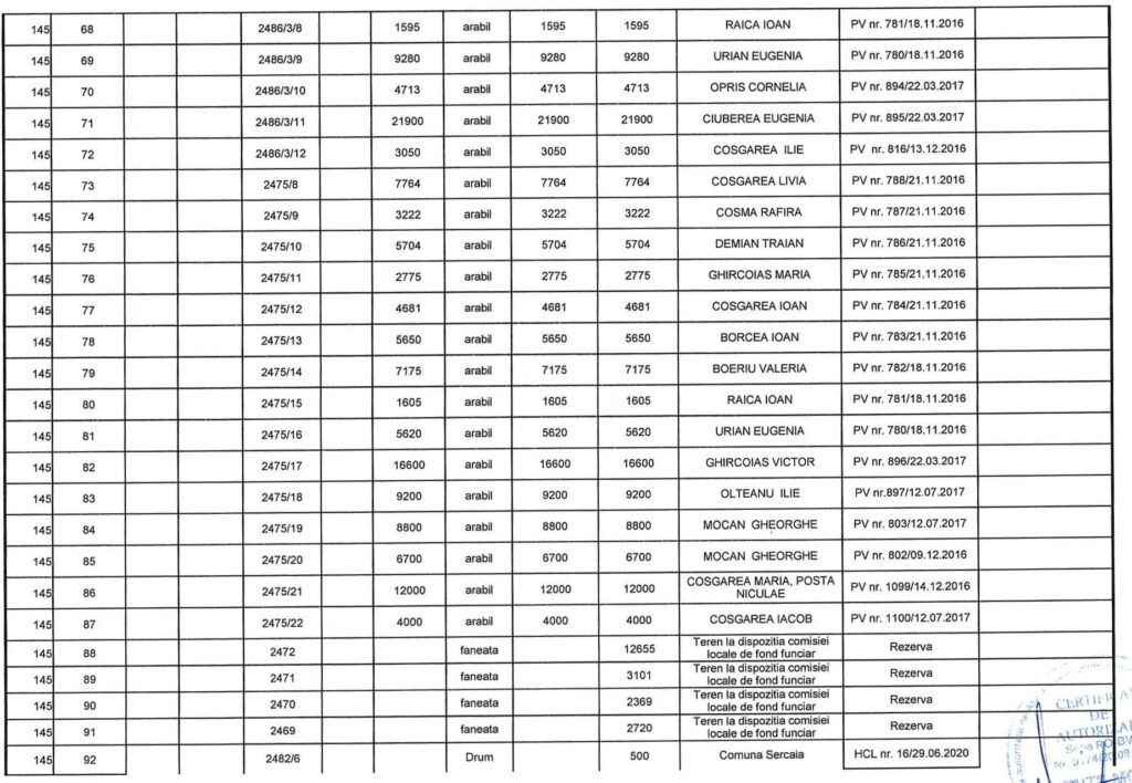
În conformitate cu prevederile Legii nr. 7/1996, art. 40, alin. 7 la 12, Legea cadastrului, se afișează Planul parcelar și tabelul parcelar al T 145 parcela A 2486, P 2475, A 2477, A 2479, A 2481, F 2469, F 2470, F 2471, F 2472 din UAT Șercaia, recepționate de către OCPI Brașov.
Afișarea se face în scopul informării publice, pentru o perioadă de 60 de zile de la data afișării, la sediul Primăriei Șercaia.
Cetățenii, care au neclarități, sunt invitați la sediul Primăriei Șercaia, biroul de cadastru, în vederea obținerii informațiilor necesare.






































